Cost Function

앞서 배운것 linear Regression 의 목표는 우리가 가지고 있는 W,b를 가지고 cost minimize 하는것이다.
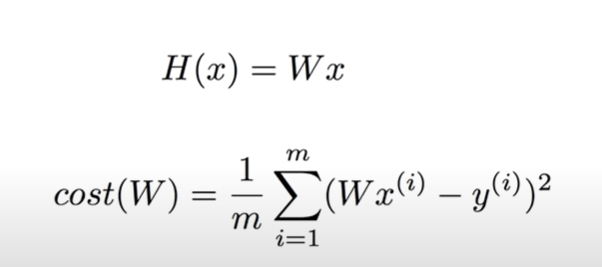
간단한 hypothesis 를 만드는 식을보자

그러다면 cost(W) 는 어떻게 보일까?
Gradient descent algorithm
수식:

최소화 하는데 있어서 가장 많이 쓰이는 알고리즘이다.
주어진 cost function 에 minimize 를 사용한다.
아무지점이나 시작할수 있다.
W가 0일때 시작할수도 있다.
W를 조금 바꾸면서 cost 를 줄일수있다.
그 과정을 반복하는것이다.
어떠한 점에서 시작하는 간에 최저점에 도달할수있는 과정이다.
Convex function : cost(w,b) 식으로 쓴다면 어느 시점에 시작을 하더라도 항상 답을 찾아서 가져다 준다.
코스트펑션을 설계할때 무조건적 convex function 이 되는지 확인해야한다.
linear 을 하기전에 cost 가 convext function 인지 보고 확인을 하고 문제없이 gradien descent algorithm 을 사용할수 있다.
'ML > 머신러닝' 카테고리의 다른 글
| Hierarchical clustering 소개 (1) | 2022.07.20 |
|---|---|
| 머신 러닝 - cost Function (0) | 2022.06.20 |
| 머신러닝 - logistic classificaction (1) | 2022.06.20 |
| 머신 러닝 - 기본 용어 및 개념 (1) | 2022.06.16 |